SIMULIA Abaqus/Standard實現金屬材料的彈塑性分析
彈塑性變形行為
Abaqus默認的塑性材料特性應用金屬材料的經典塑性理論,采用Mises屈服面來定義各向同性屈服。
金屬材料的彈塑性變形行為可以簡述如下(見圖1):在小應變時,材料性質基本為線彈性,彈性模量E為常數;應力超過屈服應力(yield stress)后,剛度會顯著下降,此時材料的應變包括塑性應變(plastic strain)和彈性應變(elastic strain)兩部分;在卸載后,彈性應變消失,而塑性應變是不可恢復的;如果再次加載,材料的屈服應力會提高,即所謂的加工硬化(work hardening)。

在單向拉伸/壓縮試驗中得到的數據通常是以名義應變εnom和名義應力σnom表示的,其計算公式為:
![]()
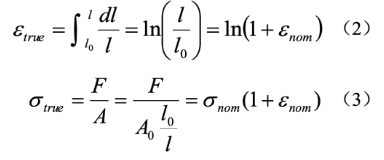
其中,Δι 是試樣的長度變化量,ι0 是試樣的初始長度,F 是載荷,A0 是試樣的初始截面面積。為了準確地描述大變形過程中截面面積的改變,需要使用真實應變εtrue(又稱對數應變)和真實應力σtrue,它們與名義應變εnom 和名義應力σnom 之間的換算公式為:

其中:ι 是試樣的當前長度, A 是試樣當前的截面面積。對于拉伸試驗,上式中的εnom 是正值;對于壓縮試驗,εnom 是負值。
真實應變εtrue 是由塑性應變εpι 和彈性應變εeι 兩部分構成的。在Abaqus中定義塑性材料參數時,需要使用塑性應變εpι ,其表達式如下:
![]()
上述各個量在Abaqus分析結果中所對應的變量為:
○ 真實應力σtrue :Mises應力S, Mises;
○ 真實應變 εtrue :對于幾何非線性問題(*STEP, NLGEOM=Yes),Abaqus在ODB文件中默認的輸出變量是對數應變LE;對于幾何線性問題(*STEP, NLGEOM=No),Abaqus默認的輸出變量是總應變E;
○ 塑性應變 εpι :等效塑性應變PEEQ,塑性應變量PEMAG,塑性應變分量PE;
○ 彈性應變 εeι :彈性應變EE;
○ 名義應變εnom :名義應變NE。
需要說明的是:在比例加載時(即加載過程中主應力方向和比值不變),大多數材料的PEMAG和PEEQ相等。這兩個量的區別在于,PEMAG描述的是變形過程中某一時刻的塑性應變,與加載歷史無關,而PEEQ是整個變形過程中塑性應變的累積結果。例如,單向拉伸一個圓柱體,使其發生塑性應變,再通過單向壓縮使其恢復初始長度,則最終的PEMAG為0,而PEEQ是拉伸和壓縮過程中塑性應變的累積。
等效塑性應變PEEQ大于0表明材料發生了屈服。在工程結構中,等效塑性應變一般不應超過材料的破壞應變(failure strain)。對于金屬成形等大變形問題,應根據生產工藝要求來確定許可的等效塑性應變量。
Abaqus/Standard無法準確模擬構件因塑性變形過大而破壞的過程,此問題應使用Abaqus/Explicit來分析。
彈塑性分析方法
在Abaqus中進行彈塑性分析時,最主要的操作是按照下面介紹的方法來定義塑性材料數據(即應力應變關系)。如果模型的位移較大,則應將幾何非線性參數Nlgeom設置為ON,對應的關鍵詞為*STEP, NLGEOM=Yes。
需要注意的是:彈塑性分析中并不一定總要考慮幾何非線性?!皫缀畏蔷€性”的含義是位移的大小對結構的響應發生影響,例如大位移、大轉動、初始應力、幾何剛性化和突然翻轉等。
在Abaqus中定義塑性材料數據的方法是:按照公式2~4,將單向拉伸或壓縮試驗得到的名義應力σnom 和名義應變εnom 數據換算為真實應力σtrue 和塑性應變εpι ,然后在Abaqus/CAE或INP文件中給出一系列由真實應力和塑性應變所構成的數據點,Abaqus將自動在各數據點之間進行線性插值。在Abaqus中定義塑性材料的關鍵詞為:
*MATERIAL, NAME = <材料名稱 >
……
*PLASTIC
<屈服點處的真實應力 >, 0
<真實應力 >, <塑性應變 >
……
需要注意的是:關鍵詞 *PLASTIC下面第一行中的第二項數據必須為0,其含義為:在屈服點處的塑性應變為0。如果此處的值不為0,在運行時會出現以下錯誤信息:“***ERROR: THE PLASTIC STRAIN AT FIRST YIELD MUST BE ZERO”。
例如,下面的語句定義了圖2所示的塑性材料數據(鋼材的單軸壓縮試驗):
*Material, name=Material-1
*Elastic
210000., 0.3
*Plastic
418, 0
500, 0.01581
605, 0.02983
695, 0.056
780, 0.095
829, 0.15
882, 0.25
908, 0.35
921, 0.45
932, 0.55
955, 0.65
988, 0.75
1040, 0.85
本例中,最大塑性應變為0.85,相應的真實應力為1040,其含義為:材料的Mises應力達到1040后,材料變為理想塑性(圖6-2中的虛線部分),即材料會持續變形,直到應力降至小于或等于1040。換言之,在理想塑性狀態下,應力和應變值不是一一對應的,而這有可能會造成收斂問題,因此,在設定關鍵詞 *PLASTIC的塑性數據時,應盡可能讓其中最大的真實應力和塑性應變大于模型中可能出現的應力應變值。
需要注意的是:關鍵詞 *PLASTIC下面各個數據行中的塑性應變必須按照遞增的順序排列,否則在運行時會出現以下錯誤信息:“***ERROR: THE INDEPENDENT VARIABLES MUST BE ARRANGED IN ASCENDING ORDER”。

比較分析發現:當塑性應變較小時,由單向拉伸試驗和單向壓縮試驗得到的真實應力-真實應變關系曲線基本一致。當塑性應變很大時,單向拉伸試驗中的試樣會出現頸縮,而單向壓縮試驗中摩擦力的影響變大,試樣變成圓鼓形,此時兩種試驗結果在塑性應變很大時都不準確,用戶應仔細考察大變形分析結果的準確性。
另外,對于同一個模型用戶可以混合使用彈塑性材料和線彈性材料。為縮短分析時間,可以只將所關心的重要部位設置為彈塑性材料,而將不重要的部位設置為線彈性材料(前提是這樣的設置不會影響對重要部位的分析精度)。
SIMULIA提供了一套先進的仿真產品組合,其中包括Abaqus、Isight、fe-safe、Tosca、Simpoe-Mold、SIMPACK、CST Studio Suite、XFlow、PowerFLOW等。SIMULIA社區是尋找SIMULIA軟件最新資源以及與其他用戶展開協作的最佳場所。作為打開創新思維和知識積累之門的鑰匙,SIMULIA社區為您提供了您需要的各種工具,隨時隨地幫助您擴大知識面。
